原理:不透光煙度計是以衰減的物理作用為工作原理,測量室兩端分別是光源和光線接收板,當光線通過導入尾氣的測量室時,部分光線被吸收,由光線接收板測得光線的衰減量,最后計算出不透光度或光吸收系數。
測試的原理圖如下:
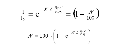
根據比爾-蘭伯特定律,光線衰減量與光吸收系數關系式如下:
式中:
----不透光度;單位為%
l0------入射光的光強;
l--------出射光的光強;
L-------光路長度;
k-------是光吸收系數,單位為m-1
T0------室內溫度,單位為K
T-------氣室環境溫度,單位K
P0-----標準大氣壓力pa
P------氣室環境壓力,單位為pa
不透光煙度計不僅可以測柴油機排氣中的黑煙,而且可以測藍煙和白煙排放,對低濃度的可見污染物有較強的測量能力,可以實現排氣煙度的連續測量。因而不透光煙度計可以用來研究柴油機的瞬態碳煙和其它可見污染物的排放特性,同時也滿足排放法規中自由加速煙度的測量要求
對應流過光通道排氣量的不同,不透光煙度計分為全流式不透光煙度計(全部排氣流過光通道)和分流式不透光煙度計(部分排氣流過光通道)。全流式不透光煙度計系根據美國排放法規要求而研制,按我國法規要求,我國不透光煙度計采用分流式測量原理。
各種分流式不透光煙度計在實際應用中因使用場合的差異應有所區別。從經濟實用的角度考慮,用于整車尾氣測量的不透光煙度計,在取樣系統的設計中無取樣溫度及壓力調節控制功能,檢測樣氣靠柴油機的排氣背壓壓入檢測室,為保證測量穩定性及重復性、避免排氣背壓對測量造成的影響,取樣點設置在整車排氣管的消聲器之后,起到穩壓作用,因而不適用于試驗臺架測量應用而是應用于整車自由加速尾氣煙度排放測量。同樣,應用于試驗臺架測量的不透光煙度計應可固定安裝在排氣管上,且樣氣可經采樣管進入儀器,再從儀器回流到排氣管內,同時需監控煙氣壓力,整車的排氣尾管無法滿足對取樣安裝位置的要求,應用于試驗臺架測量的不透光煙度計也不適用于整車測量。
為促進大氣污染防治工作,打贏藍天保衛戰,國家要求對汽柴油發動機的排氣進行檢測。不透光煙度計的主要參照標準有以下兩個 :GB?36886-2018、GB3847-2018
1、GB?36886-2018?:非道路柴油移動機械排氣煙度限值及測量方法
(1)首先,本標準適用機械如下:工程機械(包括裝載機、挖掘機、推土機、壓路機、瀝青攤鋪機、叉車、非公路卡車),農業機械、林業機械、材料裝卸機械、工業鉆探設備、機場地勤設備、空氣壓縮機、發電機組、漁業機械、水泵。
(2)煙度限值:非道路柴油移動機械排氣的不透光法煙度(光吸收系數)和林格曼黑度系數不應超過表1規定得限值。

(3)規定煙度檢驗工況和檢驗方法
煙度檢驗工況
煙度檢驗前,受檢機械裝置的柴油機應充分預熱。在機械裝置連續測試過程中,應確保發動機處于正常工作的狀態。
采用如下描述的自由加載法對在用非道路柴油移動機械的排氣煙度進行檢驗。現場檢驗人員可以根據受檢機械裝置的實際工作狀態確定加載方法,在機械裝置連續正常工作過程中(例如裝載機從鏟土到裝載完畢的全過程)。測量非道路柴油移動機械的排氣煙度。在非道路柴油移動機械不具備加載條件的情況下,可采用GB 3847描述的自由加速法進行煙度測量,即在1秒時間內,將油門踏板快速。連續但不粗暴地完全踩到底,使噴油泵供給最大油量。在松開油門踏板前,發動機應達到斷油點轉速(采用手動或其他方式控制供油量的發動機采用類似方法操作),在測量過程中應進行檢查。
煙度檢驗方法
不透光煙度法:用不透光煙度計連續測量所述工況下的非道路柴油移動機械排氣的光吸收系數,采樣頓率不應低于1Hz,取測量過程中不透光煙度計的最大讀數值作為測量結果。不透光煙度計的安裝和使用應滿足GB 3847要求。
林格曼煙度法:非道路柴油移動機械按照附錄B規定的林格曼煙度法連續觀測非道路柴油移動機械在所述測量工況下的排氣煙度,將觀測的林格曼煙度的最大值確定為排氣煙度測量結果。檢驗過程中,可以使用視頻、攝像或者執法記錄儀等手段獲取煙度檢測結果。
(4)該標準規定了,如果非道路柴油機械的林格曼黑度超標,則判定煙度排放檢驗不合格;
林格曼黑度檢驗合格的非道路柴油機械,生態環境部也可進行不透光煙度法進行現場排氣檢驗,不符合對應限值規定,則判定為不合格。
2、GB3847-2018?:柴油車污染物排放限值及測量方法(自由加速法及加載減速法)
主要參考不透光煙度計的安裝和使用方法,以及測量方法